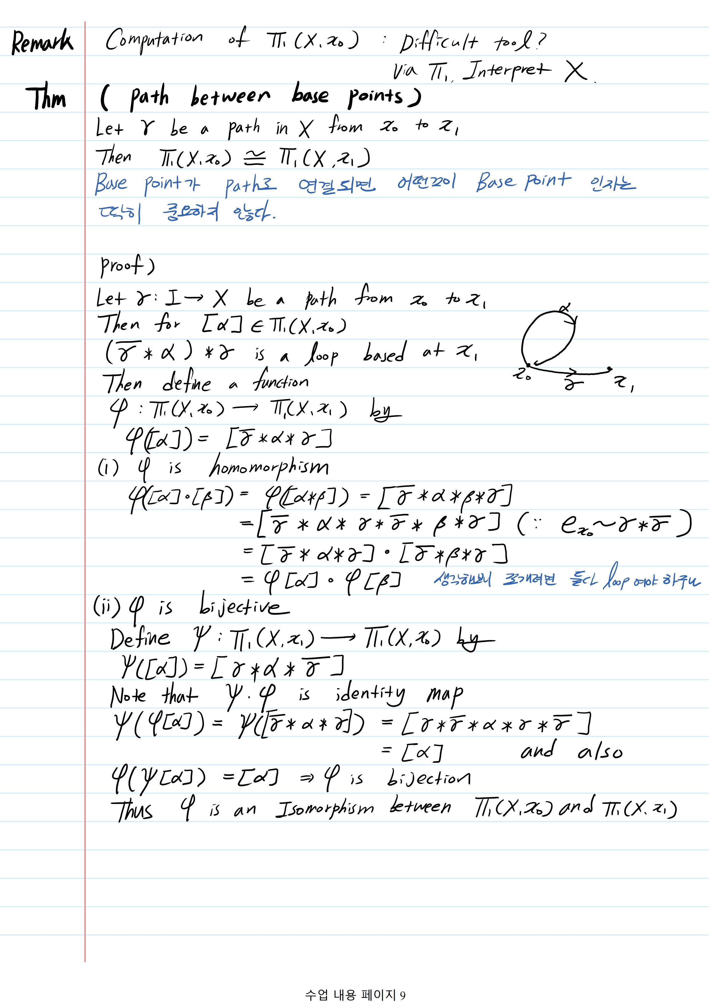
-
2. The Fundamental GroupTopology/The Fundamental Group 2019. 7. 9. 10:35











'Topology > The Fundamental Group' 카테고리의 다른 글
5. The Brouwer Fixed Point Theorem and Related Results (0) 2019.07.09 4. Additional Examples of Fundamental Groups (0) 2019.07.09 3. The Fundamental Group of S1 (0) 2019.07.09 1. The Nature of Algebraic Topology (0) 2019.07.09 0. The Fundamental Group (0) 2019.07.09